Setelah pengajuan beberapa judul kepada Dosen Metodelogi Penelitian yang sekaligus Pembimbing I dalam membuat penelitian tesis, Alhamdulillah ada satu judul yang diterima oleh pembimbing. Judul tersebut saya ambil karena merupakan hot issue/ current issue yang ada pada tempat saya bekerja, yang sekaligus akan saya jadikan objek penelitian.
Proses penemuan judul tersebut memang ada kaitannya dengan Laporan Kuliah Kerja Praktek (baca artikel saya tentang Kuliah Kerja Praktek) pada saat penulis menyelesaikan pendidikan Diploma III Manajemen Perusahaan di Universtas yang sama (Universitas Semarang). Saya berusaha mengembangkan apa yang pernah saya tulis pada laporan tersebut, dikaitkan dengan beberapa penelitian terdahulu yang saya dapatkan dari pustaka scholar.google.co.id dan beberapa karya ilmiah yang termuat pada situs Social Science Research Network (ssrn.com) baik berupa jurnal maupun penelitian tesis.
scholar.google.co.id merupakan sebuah pustaka yang disediakan google yang berisi tentang penelitian-penelitian ilmiah, baik berupa skripsi, tesis, disertasi dan jurnal. Sedangkan ssrn.com berisi tentang karya ilmiah dalam berbagai bahasa, yang bisa Anda akses dengan mendaftar terlebih dahulu. Cukup mudah Anda mendapatkan referensi dari kedua situs tersebut, dan untuk dapat mengakses SSRN, Anda harus membuat akun terlebih dahulu yaitu dengan menyertakan alamat email yang Anda pergunakan.
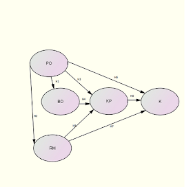
Judul yang saya ajukan pada awalnya berisi 4 variabel, yang terdiri dari 2 variabel independen, 2 variabel dependen dengan 1 variabel sebagai variabel intervening/ moderator. Namun Prof Dr Pahlawansyah Harahap SE ME selaku Pembimbing, menambahkan 1 varibel independen, sehingga jumlah variabel menjadi 5. Cukup banyak menurut saya, karena dari 5 variable tersebut akan diuji 8 hipotesis.
![]() |
| Rencana Usulan Penelitian Tesis, (Judul masih dirahasiakan) |
Tapi ya sudahlah.. harus semangat dan tetap semangat, karena waktu akan terus berjalan. Sedikit demi sedikit saya harus mulai menulis Rencana Usulan Penelitian (RUP) dan seterusnya, dan mudah-mudahan selesai pada waktunya, amien..
Memang sulit sekali mengawali menulis dengan kaidah, karena selama ini saya tidak pernah menulis dengan kaidah. Saya terbiasa menulis sesuai dengan mood yang saya miliki. Tapi sekarang untuk menciptakan mood menulis penelitian ini sangat susah, apalagi dibatasi dengan teori dan kerangka berfikir yang telah dibuat.
Semoga catatan ini akan berlanjut sampai penulis bisa menyelesaikan pendidikan ini.. Amien..

Tidak ada komentar:
PERHATIAN: Jangan meninggalkan komentar SPAM di sini! Silahkan gunakan kotak komentar untuk bertanya atau diskusi terkait materi yang ditulis.
Posting Komentar